소방설비기사(전기분야) (2022년04월24일 기출문제)
1과목 : 소방원론
1번 정전기로 인한 화재를 줄이고 방지하기 위한 대책 중 틀린 것은?
2번 위험물안전관리법령상 위험물로 분류되는 것은?
3번 이산화탄소 20g은 약 몇 mol 인가?
4번 물질의 연소 시 산소 공급원이 될 수 없는 것은?
5번 Fourier법칙(전도)에 대한 설명으로 틀린 것은?
6번 할론 소화설비에서 Halon 1211 약제의 분자식은?
7번 제4류 위험물의 성질로 옳은 것은?
8번 목재 화재 시 다량의 물을 뿌려 소화할 경우 기대되는 주된 소화효과는?
9번 물이 소화 약제로써 사용되는 장점이 아닌 것은?
10번 분말소화약제 중 탄산수소칼륨(KHCO3)과 요소(CO(NH2)2)와의 반응물을 주성분으로 하는 소화약제는?
11번 다음 중 가연물의 제거를 통한 소화 방법과 무관한 것은?
12번 건물화재의 표준시간-온도곡선에서 화재발생 후 1시간이 경과할 경우 내부 온도는 약 몇 ℃ 정도 되는가?
13번 물질의 취급 또는 위험성에 대한 설명 중 틀린 것은?
14번 폭굉(detonation)에 관한 설명으로 틀린 것은?
15번 자연발화가 일어나기 쉬운 조건이 아닌 것은?
16번 목조건축물의 화재특성으로 틀린 것은?
17번 다음 물질 중 공기 중에서의 연소범위가 가장 넓은 것은?
18번 플래시 오버(flash over)에 대한 설명으로 옳은 것은?
19번 연기에 의한 감광계수가 0.1m-1, 가시거리가 20~30m일 때의 상황으로 옳은 것은?
20번 프로판가스의 최소점화에너지는 일반적으로 약 몇 mJ 정도 되는가?
2과목 : 소방전기회로
21번 정전용량이 각각 1㎌, 2㎌, 3㎌이고, 내압이 모두 동일한 3개의 커패시터가 있다. 이 커패시터들을 직렬로 연결하여 양단에 전압을 인가한 후 전압을 상승시키면 가장 먼저 절연이 파괴되는 커패시터는? (단, 커패시터의 재질이나 형태는 동일하다.)
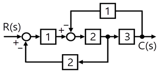
22번
그림과 같은 블록선도의 전달함수
는?
는?
23번
그림의 단상 반파 정류회로에서 R에 흐르는 전류의 평균값은 약 몇 A 인가? (단, v(t) = 220√2sinωt(V), R=16√2(Ω), 다이오드의 전압강하는 무시한다.)

24번
3상 유도 전동기를 Y 결선으로 운전했을 때 토크가 TY이었다. 이 전동기를 동일한 전원에서 △결선으로 운전했을 때 토크(T△)는?
25번 제어요소가 제어 대상에 가하는 제어 신호로 제어장치의 출력인 동시에 제어 대상의 입력이 되는 것은?
26번 어떤 코일의 임피던스를 측정하고자 한다. 이 코일에 30V의 직류전압을 가했을 때 300W가 소비되었고, 100V의 실효치 교류전압을 가했을 때 1200W가 소비되었다. 이 코일의 리액턴스(Ω)는?
27번
적분 시간이 3sec이고, 비례 감도가 5인 PI(비례적분) 제어 요소가 있다. 이 제어 요소의 전달함수는?
28번 100V에서 500W를 소비하는 전열기가 있다. 이 전열기에 90V 의 전압을 인가했을 때 소비되는 전력(W)은?
29번 4극 직류 발전기의 전기자 도체 수가 500개, 각 자극의 자속이 0.01Wb, 회전수가 1800rpm일 때 이 발전기의 유도 기전력(V)은? (단, 전기자 권선법은 파권이다.)
30번 진공 중에서 원점에 10-8C의 전하가 있을 때 점(1, 2, 2)m에서의 전계의 세기는 약 몇 V/m 인가?
31번
정현파 교류전압 e1(t)과 e2(t)의 합(e1(t) + e2(t))은 몇 V 인가?

32번 60㎐의 3상 전압을 반파 정류하였을 때 리플(맥동) 주파수(㎐)는?
33번
테브난의 정리를 이용하여 그림 (a)의 회로를 그림 (b)와 같은 등가회로로 만들고자 할 때 Vth(V)와 Rth(Ω)은?

34번 어떤 전압계의 측정 범위를 12배로 하려고 할 때 배율기의 저항은 전압계 내부저항의 몇 배로 해야 하는가?
35번 각 상의 임피던스가 Z = 4+j3(Ω)인 △결선의 평형 3상 부하에 선간전압이 200V인 대칭 3상 전압을 가했을 때 이 부하로 흐르는 선전류의 크기는 몇 A 인가?
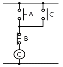
36번
시퀀스회로를 논리식으로 표현하면?

37번
그림의 회로에서 a-b 간에 Vab(V)를 인가했을 때 c-d 간의 전압이 100V이었다. 이때 a-b 간에 인가한 전압(Vab)은 몇 V인가?

38번 균일한 자기장 내에서 운동하는 도체에 유도된 기전력의 방향을 나타내는 법칙은?
39번
회로에서 저항 5Ω의 양단 전압 VR(V)은?

40번
다음의 논리식을 간단히 표현한 것은?

3과목 : 소방관계법규
41번 다음 중 소방기본법령에 따라 화재예방상 필요하다고 인정되거나 화재위험경보시 발령하는 소방신호의 종류로 옳은 것은?
42번 소방기본법령상 보일러 등의 위치·구조 및 관리와 화재예방을 위하여 불의 사용에 있어서 지켜야 하는 사항 중 보일러에 경유·등유 등 액체연료를 사용하는 경우에 연료탱크는 보일러 본체로부터 수평거리 최소 몇 m 이상의 간격을 두어 설치해야 하는가?
43번
다음은 소방기본법령상 소방본부에 대한 설명이다. ( )에 알맞은 내용은?

44번 다음 소방기본법령상 용어 정의에 대한 설명으로 옳은 것은?
45번 소방기본법령상 상업지역에 소방용수시설 설치 시 소방대상물과의 수평거리 기준은 몇 m 이하인가?
46번
소방시설공사업법령상 일반 소방시설설계업(기계분야)의 영업범위에 대한 기준 중 ( )에 알맞은 내용은? (단, 공장의 경우는 제외한다.)

47번 소방시설공사업법령상 소방시설업의 등록을 하지 아니하고 영업을 한 자에 대한 벌칙기준으로 옳은 것은?
48번 위험물안전관리법령에서 정하는 제3류 위험물에 해당하는 것은?
49번 화재예방, 소방시설 설치·유지 및 안전관리에 관한 법령상 자동화재탐지설비를 설치하여야 하는 특정소방대상물의 기준으로 틀린 것은?
50번
화재예방, 소방시설 설치·유지 및 안전관리에 관한 법령상 종합정밀점검 실시 대상이 되는 특정소방대상물의 기준 중 다음 ( ) 안에 알맞은 것은?

51번
소방기본법령상 특수가연물의 저장 및 취급의 기준 중 ( )에 들어갈 내용으로 옳은 것은? (단, 석탄·목탄류의 경우는 제외 한다.)

52번 위험물안전관리법령상 제4류 위험물을 저장·취급하는 제조소에 “화기엄금”이란 주의사항을 표시하는 게시판을 설치할 경우 게시판의 색상은?
53번 위험물안전관리법령상 유별을 달리하는 위험물을 혼재하여 저장할 수 있는 것으로 짝지어진 것은?
54번 화재예방, 소방시설 설치·유지 및 안전관리에 관한 법령상 방염성능기준 이상의 실내장식물 등을 설치하여야 하는 특정소방대상물이 아닌 것은?
55번 화재예방, 소방시설 설치·유지 및 안전관리에 관한 법령상 건축허가 등을 할 때 미리 소방본부장 또는 소방서장의 동의를 받아야 하는 건축물 등의 범위기준이 아닌 것은?
56번 위험물안전관리법령상 관계인이 예방규정을 정하여야 하는 위험물 제조소등에 해당하지 않는 것은?
57번 화재예방, 소방시설 설치·유지 및 안전관리에 관한 법령상 제조 또는 가공 공정에서 방염처리를 한 물품 중 방염대상물품이 아닌 것은?
58번 화재예방, 소방시설 설치·유지 및 안전관리에 관한 법령상 무창층으로 판정하기 위한 개구부가 갖추어야 할 요건으로 틀린 것은?
59번 화재예방, 소방시설 설치·유지 및 안전관리에 관한 법령상 공동 소방안전관리자를 선임하여야 하는 특정소방대상물 중 고층 건축물은 지하층을 제외한 층수가 최소 몇 층 이상인 건축물만 해당되는가?
60번
화재예방, 소방시설 설치·유지 및 안전관리에 관한 법령상 “대통령령으로 정하는 특정소방대상물”의 관계인은 그 장소에 상시 근무하거나 거주하는 사람에게 소방훈련과 소방안전관리에 필요한 교육을 하여야 한다. 다음 “대통령령으로 정하는 특정소방대상물”에 대한 설명 중 ( )에 알맞은 내용은?

4과목 : 소방전기시설의 구조 및 원리
61번 소방시설용 비상전원수전설비의 화재안전기준(NFSC 602)에 따라 저압으로 수전하는 제1종 배전반 및 분전반의 외함 두께와 전면판(또는 문) 두께에 대한 설치기준으로 옳은 것은?
62번 무선통신보조설비의 화재안전기준(NFSC 505)에서 정하는 분배기·분파기 및 혼합기 등의 임피던스는 몇 Ω의 것으로 하여야 하는가?
63번 비상콘센트설비의 성능인증 및 제품검사의 기술기준에 따라 절연저항 시험부위의 절연내력은 정격전압 150V 이하의 경우 60Hz의 정현파에 가까운 실효전압 1000V 교류전압을 가하는 시험에서 몇 분간 견디는 것이어야 하는가?
64번
다음은 누전경보기의 형식승인 및 제품검사의 기술기준에 따른 표시등에 대한 내용이다. ( )에 들어갈 내용으로 옳은 것은?

65번 무선통신보조설비의 화재안전기준(NFSC 505)에 따라 무선통신보조설비의 누설동축케이블 및 동축케이블은 화재에 따라 해당 케이블의 피복이 소실된 경우에 케이블 본체가 떨어지지 아니하도록 몇 m 이내마다 금속제 또는 자기제등의 지지금구로 벽·천장·기둥 등에 견고하게 고정시켜야 하는가? (단, 불연재료로 구획된 반자 안에 설치하지 않은 경우이다.)
66번 비상콘센트설비의 화재안전기준(NFSC 504)에 따라 비상콘센트용의 풀박스 등은 방청도장을 한 것으로서, 두께 몇 mm 이상의 철판으로 하여야 하는가?
67번 자동화재탐지설비 및 시각경보장치의 화재안전기준(NFSC 203)에서 정하는 불꽃감지기의 시설기준으로 틀린 것은?
68번
다음은 비상조명등의 우수품질인증 기술기준에서 정하는 비상조명등의 상태를 자동적으로 점검하는 기능에 대한 내용이다. ( )에 들어갈 내용으로 옳은 것은?

69번 자동화재탐지설비 및 시각경보장치의 화재안전기준(NFSC 203)에 따라 부착 높이가 4m 미만으로 연기감지기 3종을 설치할 때, 바닥면적 몇 m2 마다 1개 이상 설치하여야 하는가?
70번 비상방송설비와 자동화재탐지설비의 연동 시 동작 순서로 옳은 것은?
71번 유도등의 우수품질인증 기술기준에서 정하는 유도등의 일반구조에 적합하지 않은 것은?
72번 축광표지의 성능인증 및 제품검사의 기술기준에 따라 피난방향 또는 소방용품 등의 위치를 추가적으로 알려주는 보조역할을 하는 축광보조표지의 설치 위치로 틀린 것은?
73번 시각경보장치의 성능인증 및 제품검사의 기술기준에 따라 시각 경보장치의 전원부 양단자 또는 양선을 단락시킨 부분과 비충전부를 DC 500V의 절연저항계로 측정하는 경우 절연저항이 몇 ㏁ 이상이어야 하는가?
74번 누전경보기의 형식승인 및 제품검사의 기술기준에서 정하는 누전경보기의 공칭작동전류치(누전경보기를 작동시키기 위하여 필요한 누설전류의 값으로서 제조자에 의하여 표시된 값을 말한다.)는 몇 ㎃ 이하이어야 하는가?
75번
다음은 자동화재속보설비의 속보기의 성능인증 및 제품검사의 기술기준에 따른 속보기에 대한 내용이다. ( )에 들어갈 내용으로 옳은 것은?

76번 단독경보형감지기에 대한 설명으로 틀린 것은?
77번 비상방송설비의 음향장치는 정격전압의 몇 % 전압에서 음향을 발할 수 있는 것으로 하여야 하는가?
78번 소방시설용 비상전원수전설비의 화재안전기준(NFSC 602)에 따라 소방회로배선은 일반회로배선과 불연성 벽으로 구획하여야 하나, 소방회로배선과 일반회로배선을 몇 ㎝ 이상 떨어져 설치한 경우에는 그러하지 아니하는가?
79번 경종의 우수품질인증 기술기준에 따라 경종에 정격전압을 인가한 경우 경종의 소비전류는 몇 mA 이하이어야 하는가?
80번 자동화재탐지설비 및 시각경보장치의 화재안전기준(NFSC 203)에 따라 감지기 상호 간 또는 감지기로부터 수신기에 이르는 감지기회로의 배선 중 전자파 방해를 받지 아니하는 쉴드선 등을 사용하지 않아도 되는 것은?
연도별
- 2022년04월24일
- 2022년03월05일
- 2021년09월12일
- 2021년05월15일
- 2021년03월07일
- 2020년09월26일
- 2020년08월22일
- 2020년06월06일
- 2019년09월21일
- 2019년04월27일
- 2019년03월03일
- 2018년09월15일
- 2018년04월28일
- 2018년03월04일
- 2017년09월23일
- 2017년05월07일
- 2017년03월05일
- 2016년10월01일
- 2016년05월08일
- 2016년03월06일
- 2015년09월19일
- 2015년05월31일
- 2015년03월08일
- 2014년09월20일
- 2014년05월25일
- 2014년03월02일
- 2013년09월28일
- 2013년06월02일
- 2013년03월10일
- 2012년09월15일
- 2012년05월20일
- 2012년03월04일
- 2011년10월02일
- 2011년06월12일
- 2011년03월20일
- 2010년09월05일
- 2010년05월09일
- 2010년03월07일
- 2009년08월30일
- 2009년05월10일
- 2009년03월01일
- 2008년09월07일
- 2008년05월11일
- 2008년03월02일
- 2007년09월02일
- 2007년05월13일
- 2007년03월04일
- 2006년09월10일
- 2006년05월17일
- 2006년03월05일
- 2005년09월04일
- 2005년05월29일
- 2005년03월06일
- 2004년09월05일
- 2004년05월23일
- 2004년03월07일
- 2003년08월31일
- 2003년05월25일
- 2003년03월16일