수능(화학I) (2016년09월01일 기출문제)
1과목 : 과목 구분 없음
1번
다음은 그래핀과 다이아몬드의 구조를, 표는 원자 모형을 나타낸 것이다.

각각의 구조를 만들 때 필요한 원자 모형은? (순서대로 그래핀, 다이아몬드)

각각의 구조를 만들 때 필요한 원자 모형은? (순서대로 그래핀, 다이아몬드)
2번
다음은 분자 X에 대한 자료이다.

X는? [3점]

X는? [3점]
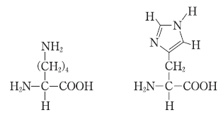
3번
다음은 생명 현상과 관계있는 2가지 분자이다.

두 분자의 공통점으로 옳은 것만을 <보기>에서 있는 대로 고른 것은?

두 분자의 공통점으로 옳은 것만을 <보기>에서 있는 대로 고른 것은?

4번
다음은 3가지 반응의 화학 반응식이다.

(가)~(다)에서 제시된 물질에 대한 설명으로 옳은 것을 <보기>에서 모두 고른 것은?

(가)~(다)에서 제시된 물질에 대한 설명으로 옳은 것을 <보기>에서 모두 고른 것은?

5번
다음은 분자 (가)와 (나)의 루이스 전자 점식이다.

이에 대한 설명으로 옳은 것을 <보기>에서 모두 고른 것은?

이에 대한 설명으로 옳은 것을 <보기>에서 모두 고른 것은?

6번
다음은 Cu와 관련된 3가지 반응의 화학 반응식이다.

이에 대한 설명으로 옳은 것을 <보기>에서 모두 고른 것은? [3점]

이에 대한 설명으로 옳은 것을 <보기>에서 모두 고른 것은? [3점]

7번
그림은 원자의 구성 입자인 양성자, 중성자, 전자를 A~C로 분류한 것이고, 표는 원자15X와 이온 18Y-에 대한 자료이다.

이에 대한 설명으로 옳은 것을 <보기>에서 모두 고른 것은? (단, X, Y는 임의의 원소 기호이다.)

이에 대한 설명으로 옳은 것을 <보기>에서 모두 고른 것은? (단, X, Y는 임의의 원소 기호이다.)

8번
다음은 학생 A가 학습한 내용과 결론이다.

결론에서 ㉠은? [3점]

결론에서 ㉠은? [3점]
9번
다음은 전자쌍 사이에 작용하는 반발력을 비교하기 위해 학생 A가 수행한 탐구이다.

이에 대한 설명으로 옳은 것을 <보기>에서 모두 고른 것은? [3점]

이에 대한 설명으로 옳은 것을 <보기>에서 모두 고른 것은? [3점]

10번
다음은 탄소 화합물의 원소 분석 실험이다.

이에 대한 설명으로 옳은 것을 <보기>에서 모두 고른 것은? (단, H, C, O의 원자량은 각각 1, 12, 16이다)

이에 대한 설명으로 옳은 것을 <보기>에서 모두 고른 것은? (단, H, C, O의 원자량은 각각 1, 12, 16이다)

11번
그림은 원자 A~D의 이온 반지름을 나타낸 것이다 A~D의 이온은 모두 Ne의 전자 배치를 가지며, 원자 번호는 각각 8, 9, 11, 12중 하나이다.

이에 대한 설명으로 옳은 것을 <보기>에서 모두 고른 것은?

이에 대한 설명으로 옳은 것을 <보기>에서 모두 고른 것은?

12번
다음은 금속 M의 원자량을 구하는 실험이다.

M의 원자량은? (단, 25℃, 1기압에서 기체 1몰의 부피는 24.4L이다.) [3점]

M의 원자량은? (단, 25℃, 1기압에서 기체 1몰의 부피는 24.4L이다.) [3점]
13번
그림은 탄화수소 (가)~(라)에서 C 사이의 결합각 (∠CCC)을 나타낸 것이다. (가)~(라)에는 각각 C가 3개 있고, 2중 결합은 없거나 1개 있다.

이에 대한 설명으로 옳은 것을 <보기>에서 모두 고른 것은?

이에 대한 설명으로 옳은 것을 <보기>에서 모두 고른 것은?

14번
다음은 어떤 분자의 구조식이며, 구성 원소의 전기음성도는 W < X < Y < Z이다.

X의 산화수는? (단, W~Z는 임의의 원소 기호이다.)

X의 산화수는? (단, W~Z는 임의의 원소 기호이다.)
15번
표는 원자 X~Z의 가장 바깥 전자 껍질의 종류와 전자 수를 그림은 X~Z의 s와 p오비탈에 들어 있는 전자 수를 나타낸 것이다.

X~Z에 대한 설명으로 옳은 것은? (단, X~Z는 임의의 원소 기호이다.) [3점]

X~Z에 대한 설명으로 옳은 것은? (단, X~Z는 임의의 원소 기호이다.) [3점]
16번
다음은 중화 반응 실험이다.

(라)에서 x는? [3점]

(라)에서 x는? [3점]
17번
그림은 원자 a~g의 제2 이온화 에너지를 나타낸 것이다. a~g의 원자 번호는 각각 8~14중 하나이다.

이에 대한 설명으로 옳은 것을 <보기>에서 모두 고른 것은?

이에 대한 설명으로 옳은 것을 <보기>에서 모두 고른 것은?

18번
다음은 금속 A~C의 산화 환원 반응 실험이다.

이에 대한 설명으로 옳은 것을 <보기>에서 모두 고른 것은? [3점]

이에 대한 설명으로 옳은 것을 <보기>에서 모두 고른 것은? [3점]

19번
표는 일정한 온도와 압력에서 3가지 기체 분자에 대한 자료이다.

이에 대한 설명으로 옳은 것을 <보기>에서 모두 고른 것은? (단, X~Z는 임의의 원소 기호이다.) [3점]

이에 대한 설명으로 옳은 것을 <보기>에서 모두 고른 것은? (단, X~Z는 임의의 원소 기호이다.) [3점]

20번
다음은 A(g)가 분해되는 반응의 화학 반응식이다.

그림은 실린더 A를 넣고 모두 분해시킬 때 반응 시간에 따른 전체 기체의 밀도를 나타낸 것이다. 온도와 압력은 일정하고, X, Y에서 A의 질량은 각각 wX, wY이다.

는? [3점]

그림은 실린더 A를 넣고 모두 분해시킬 때 반응 시간에 따른 전체 기체의 밀도를 나타낸 것이다. 온도와 압력은 일정하고, X, Y에서 A의 질량은 각각 wX, wY이다.

는? [3점]연도별
- 2016년09월01일
- 2016년07월06일
- 2016년06월02일
- 2016년04월06일
- 2016년03월10일
- 2015년11월12일
- 2015년10월13일
- 2015년09월02일
- 2015년07월09일
- 2015년06월04일
- 2015년04월09일
- 2015년03월11일
- 2014년11월13일
- 2014년10월07일
- 2014년09월03일
- 2014년07월10일
- 2014년06월12일
- 2014년04월10일
- 2014년03월12일
- 2013년11월07일
- 2013년10월08일
- 2013년09월03일
- 2013년07월12일
- 2013년06월05일
- 2013년04월11일
- 2013년03월13일
- 2012년11월08일
- 2012년10월09일
- 2012년09월04일
- 2012년07월11일
- 2012년06월07일
- 2012년04월10일
- 2011년10월12일
- 2011년09월01일
- 2011년07월13일
- 2011년06월02일
- 2011년04월12일
- 2011년02월28일
- 2010년11월18일
- 2010년10월12일
- 2010년09월02일
- 2010년07월08일
- 2010년06월10일
- 2010년04월13일
- 2010년03월12일
- 2009년11월12일
- 2009년10월15일
- 2009년09월03일
- 2009년07월14일
- 2009년06월04일
- 2009년04월15일
- 2009년03월13일
- 2008년11월13일
- 2008년10월16일
- 2008년09월04일
- 2008년07월15일
- 2008년06월04일
- 2008년04월15일
- 2008년03월14일
- 2007년11월15일
- 2007년10월10일
- 2007년09월06일
- 2007년07월12일
- 2007년06월07일
- 2007년03월16일
- 2006년11월16일
- 2006년10월12일
- 2006년09월06일
- 2006년06월03일
- 2006년04월19일
- 2006년03월11일