수능(화학I) (2007년07월12일 기출문제)
1과목 : 과목 구분 없음
1번
그림은 물(H2o)분자 사이의 결합(A)와 몇 가지 물질의 끓는점 및 녹는점을 나타낸 것이다.

이에 대한 설명으로 옳은 것을 <보기>에서 모두 고른 것은?

이에 대한 설명으로 옳은 것을 <보기>에서 모두 고른 것은?

2번
그림과 같이 주사기가 설치된 용기에 공기를 넣은 후 콕을 닫았다.

온도를 일정하게 유지하면서 주사기 B의 피스톤을 서서히 누른 후 주사기 A와 C의 내부 압력 변화를 바르게 나타낸 것은? (단, 주사기의 마찰은 무시하고, 주사기 C의 끝은 막혀있다. ) (순서대로 주사기 A, 주사기 C) [3점]

온도를 일정하게 유지하면서 주사기 B의 피스톤을 서서히 누른 후 주사기 A와 C의 내부 압력 변화를 바르게 나타낸 것은? (단, 주사기의 마찰은 무시하고, 주사기 C의 끝은 막혀있다. ) (순서대로 주사기 A, 주사기 C) [3점]
3번
다음은 몇 가지 물질의 밀도를 비교하기 위한 실험이다.

이에 대한 설명으로 옳은 것을 <보기>에서 모두 고른 것은? (단, 두 혼합 용액에서 에탄올이 차지하는 부피비는 같다.) [3점]

이에 대한 설명으로 옳은 것을 <보기>에서 모두 고른 것은? (단, 두 혼합 용액에서 에탄올이 차지하는 부피비는 같다.) [3점]

4번
다음은 전기분해를 통해 기체를 발생시키는 실험이다.

시험관에 모아진 기체에 대한 설명으로 옳은 것을 <보기>에서 모두 고른 것은? (단, 물의 증발은 무시한다.) [3점]

시험관에 모아진 기체에 대한 설명으로 옳은 것을 <보기>에서 모두 고른 것은? (단, 물의 증발은 무시한다.) [3점]

5번
다음은 중금속 A, B, C에 대한 설명이다.

이에 대한 설명으로 옳은 것을 <보기>에서 모두 고른 것은?

이에 대한 설명으로 옳은 것을 <보기>에서 모두 고른 것은?

6번
그림은 염화나트륨(NaCl) 수용액 50mL와 질산은(AgNO3) 수용액 25mL의 이온 존재비를 모형으로 나타낸 것이다.

두 용액을 섞었을 때 혼합 용액에 대한 설명으로 옳은 것은?

두 용액을 섞었을 때 혼합 용액에 대한 설명으로 옳은 것은?
7번
그림은 석회수에 드라이아이스를 넣었을 때 일어나는 변화를 나타낸 것이다.

이에 대한 설명으로 옳은 것을 <보기>에서 모두 고른 것은? [3점]

이에 대한 설명으로 옳은 것을 <보기>에서 모두 고른 것은? [3점]

8번
다음은 옛 선조들이 철을 얻는 과정을 설명하는 과학 기사의 일부이다.

위 가사 내용에 포함된 화학 반응을 나타낸 반응식을 <보기>에서 모두 고른 것은? [3점]

위 가사 내용에 포함된 화학 반응을 나타낸 반응식을 <보기>에서 모두 고른 것은? [3점]

9번
그림은 주기율표의 일부를 나타낸 것이다.

이에 대한 설명으로 옳지 않은 것은? (단, A~D는 임의의 원소 기호이다.)

이에 대한 설명으로 옳지 않은 것은? (단, A~D는 임의의 원소 기호이다.)
10번
그림은 에틴(C2H2)의 여러 가지 반응을 나타낸 것이다.

이에 대한 설명으로 옳지 않은 것은? (단, (가), (다), (라)는 불포화 탄화수소이다.) [3점]

이에 대한 설명으로 옳지 않은 것은? (단, (가), (다), (라)는 불포화 탄화수소이다.) [3점]
11번
다음은 임의의 금속 A, B, C의 반응성을 비교하기 위한 실험이다.

이에 대한 설명으로 옳은 것을 <보기>에서 모두 고른 것은? [3점]

이에 대한 설명으로 옳은 것을 <보기>에서 모두 고른 것은? [3점]

12번
그림은 두 가지 고분자 화합물의 구조식을 나타낸 것이다.

위 화합물 (가), (나)의 특성을 <보기>에서 골라 바르게 짝지은 것은? (순서대로 가, 나)

위 화합물 (가), (나)의 특성을 <보기>에서 골라 바르게 짝지은 것은? (순서대로 가, 나)
13번
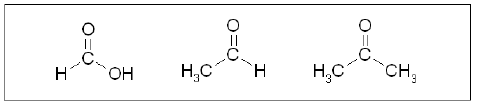
그림은 세가지 탄소 화합물의 구조식을 나타낸 것이다.

위 화합물에 대한 설명으로 옳은 것은? [3점]

위 화합물에 대한 설명으로 옳은 것은? [3점]
14번
그림은 여성 호르몬인 에스트로겐과 남성 호르몬인 테스토스테론의 구조식을 나타낸 것이다.

위 화합물의 공통적 성질로 옳은 것을 <보기>에서 모두 고른 것은?

위 화합물의 공통적 성질로 옳은 것을 <보기>에서 모두 고른 것은?

15번
다음은 ‘자유의 여신상’의 구조와 부식 과정을 설명한 것이다.

이에 대한 설명으로 옳은 것을 <보기>에서 모두 고른 것은?

이에 대한 설명으로 옳은 것을 <보기>에서 모두 고른 것은?

16번
다음은 프레온 가스에 의한 오존층 파괴와 관련된 내용이다.

프레온 가스가 오존층에 도달하는 것과 원리가 같은 현상은?

프레온 가스가 오존층에 도달하는 것과 원리가 같은 현상은?
17번
그림은 세가지 탄소 화합물의 구조식을 나타낸 것이다.

위 화합물의 공통된 성질로 옳은 것을 <보기>에서 모두 고른 것은?

위 화합물의 공통된 성질로 옳은 것을 <보기>에서 모두 고른 것은?

18번
그림은 두 개의 삼각 플라스크에 묽은 염산(HCl)과 아세트산(CH3COOH)수용액을 각 10mL씩 넣고, 각각의 삼삭 플라스크에 같은 온도의 2% 수산화나트륨(NaOH) 수용액을 조금씩 가하면서 혼합 용액의 이온수 변화를 나타낸 것이다.

이에 대한 설명으로 옳은 것을 <보기>에서 모두 고른 것은? [3점]

이에 대한 설명으로 옳은 것을 <보기>에서 모두 고른 것은? [3점]

19번
다음은 기체를 발생시켜 액체 질소를 냉각시키는 실험이다.

이에 대한 설명으로 옳은 것을 <보기>에서 모두 고른 것은?

이에 대한 설명으로 옳은 것을 <보기>에서 모두 고른 것은?

20번
두 개의 비커에 같은 양의 지하수를 넣고 각각 세탁비누와 LAS세제를 풀었더니, 그림과 같이 (가)에서는 거품이 많이 생겼고 (나)에서는 아주 적은 양의 거품이 생겼다.

이에 대한 설명으로 옳은 것을 <보기>에서 모두 고른 것은?

이에 대한 설명으로 옳은 것을 <보기>에서 모두 고른 것은?

연도별
- 2016년09월01일
- 2016년07월06일
- 2016년06월02일
- 2016년04월06일
- 2016년03월10일
- 2015년11월12일
- 2015년10월13일
- 2015년09월02일
- 2015년07월09일
- 2015년06월04일
- 2015년04월09일
- 2015년03월11일
- 2014년11월13일
- 2014년10월07일
- 2014년09월03일
- 2014년07월10일
- 2014년06월12일
- 2014년04월10일
- 2014년03월12일
- 2013년11월07일
- 2013년10월08일
- 2013년09월03일
- 2013년07월12일
- 2013년06월05일
- 2013년04월11일
- 2013년03월13일
- 2012년11월08일
- 2012년10월09일
- 2012년09월04일
- 2012년07월11일
- 2012년06월07일
- 2012년04월10일
- 2011년10월12일
- 2011년09월01일
- 2011년07월13일
- 2011년06월02일
- 2011년04월12일
- 2011년02월28일
- 2010년11월18일
- 2010년10월12일
- 2010년09월02일
- 2010년07월08일
- 2010년06월10일
- 2010년04월13일
- 2010년03월12일
- 2009년11월12일
- 2009년10월15일
- 2009년09월03일
- 2009년07월14일
- 2009년06월04일
- 2009년04월15일
- 2009년03월13일
- 2008년11월13일
- 2008년10월16일
- 2008년09월04일
- 2008년07월15일
- 2008년06월04일
- 2008년04월15일
- 2008년03월14일
- 2007년11월15일
- 2007년10월10일
- 2007년09월06일
- 2007년07월12일
- 2007년06월07일
- 2007년03월16일
- 2006년11월16일
- 2006년10월12일
- 2006년09월06일
- 2006년06월03일
- 2006년04월19일
- 2006년03월11일