수능(화학I) (2014년11월13일 기출문제)
1과목 : 과목 구분 없음
1번
다음은 물질 X에 대한 설명이다.

X의 구조로 가장 적절한 것은?

X의 구조로 가장 적절한 것은?
2번
다음은 4 가지 질소 화합물이다.

이 화합물에 있는 질소(N)의 산화수 중 가장 큰 값은?

이 화합물에 있는 질소(N)의 산화수 중 가장 큰 값은?
3번
다음은 현대 원자 모형에서 바닥 상태 전자 배치에 이용되는 원리 및 규칙이다.

이에 따른 8O+의 바닥 상태 전자 배치로 옳은 것은?

이에 따른 8O+의 바닥 상태 전자 배치로 옳은 것은?
4번
다음은 포도당 연소 반응의 화학 반응식과 이 반응의 물질을 화합물과 분자로 분류하는 벤 다이어그램이다.

이 반응의 물질에 대한 설명으로 옳지 않은 것은?

이 반응의 물질에 대한 설명으로 옳지 않은 것은?
5번
다음은 산 염기 반응의 화학 반응식이다.

이에 대한 설명으로 옳은 것만을 <보기>에서 있는 대로 고른 것은?

이에 대한 설명으로 옳은 것만을 <보기>에서 있는 대로 고른 것은?

6번
다음은 2 가지 탄화수소의 화학식이다.

이 탄화수소의 공통점으로 옳은 것만을 <보기>에서 있는 대로 고른 것은?[ 3점]

이 탄화수소의 공통점으로 옳은 것만을 <보기>에서 있는 대로 고른 것은?[ 3점]

7번
그림은 빅뱅 이후 우주에서 양성자(
)와 중성자(
)로부터 헬륨 원자핵이 생성되는 과정을 나타낸 것이다.

이 과정의 입자에 대한 설명으로 옳은 것만을 <보기>에서 있는 대로 고른 것은?
)와 중성자(
)로부터 헬륨 원자핵이 생성되는 과정을 나타낸 것이다. 
이 과정의 입자에 대한 설명으로 옳은 것만을 <보기>에서 있는 대로 고른 것은?

8번
표는 4 가지 분자 HCN, CO2, OF2, CH4 을 3 가지 기준에 따라 각각 분류한 결과를 나타낸 것이다.

이에 대한 설명으로 옳은 것만을 <보기>에서 있는 대로 고른 것은? [3점]

이에 대한 설명으로 옳은 것만을 <보기>에서 있는 대로 고른 것은? [3점]

9번
다음은 과망가니즈산 칼륨(KMnO4)과 진한 염산(HCl(aq))이 반응하는 산화 환원 반응의 화학 반응식이다.

이 반응에 대한 설명으로 옳은 것만을 <보기>에서 있는 대로 고른 것은? [3점]

이 반응에 대한 설명으로 옳은 것만을 <보기>에서 있는 대로 고른 것은? [3점]

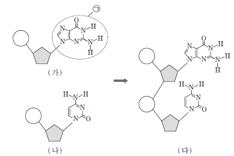
10번
그림은 각각 구아닌과 사이토신을 갖는 뉴클레오타이드의 결합 과정을 모식적으로 나타낸 것이다.

이에 대한 설명으로 옳은 것만을 <보기>에서 있는 대로 고른 것은?

이에 대한 설명으로 옳은 것만을 <보기>에서 있는 대로 고른 것은?

11번
다음은 원소 X, Y로 이루어진 순물질 (가)~(다)에 대한 자료이다.

이에 대한 설명으로 옳은 것만을 <보기>에서 있는 대로 고른 것은? (단, X, Y는 임의의 원소 기호이다.) [3점]

이에 대한 설명으로 옳은 것만을 <보기>에서 있는 대로 고른 것은? (단, X, Y는 임의의 원소 기호이다.) [3점]

12번
다음은 알루미늄(Al)과 염산(HCl(aq))이 반응할 때의 화학 반응식이다.

학생 A는 부피가 1.0 cm3 인 Al(s)이 충분한 양의 HCl(aq)과 반응할 때 생성되는 H2(g)의 질량을 <보기>에 있는 자료를 이용하여 이론적으로 구하려고 한다. 학생 A가 반드시 이용해야 할 자료만을 <보기>에서 있는 대로 고른 것은? (단, 온도와 압력은 25℃, 1 기압이다.) [3점]

학생 A는 부피가 1.0 cm3 인 Al(s)이 충분한 양의 HCl(aq)과 반응할 때 생성되는 H2(g)의 질량을 <보기>에 있는 자료를 이용하여 이론적으로 구하려고 한다. 학생 A가 반드시 이용해야 할 자료만을 <보기>에서 있는 대로 고른 것은? (단, 온도와 압력은 25℃, 1 기압이다.) [3점]

13번
그림은 주기율표의 일부를, 표는 안정한 화합물 (가)~(라)의 화학식을 나타낸 것이다.

(가)~(라)에 대한 설명으로 옳은 것만을 <보기>에서 있는 대로 고른 것은? (단, A~E는 임의의 원소 기호이다.)

(가)~(라)에 대한 설명으로 옳은 것만을 <보기>에서 있는 대로 고른 것은? (단, A~E는 임의의 원소 기호이다.)

14번
표는 바닥 상태인 원자 A~D의 원자가 전자 수(a)와 홀전자 수(b)의 차(a-b)를 나타낸 것이다. A~D는 각각 N, F, Na, S 중 하나이다.

A~D에 대한 설명으로 옳은 것만을 <보기>에서 있는 대로 고른 것은?

A~D에 대한 설명으로 옳은 것만을 <보기>에서 있는 대로 고른 것은?

15번
그림은 원자 번호가 연속인 2, 3 주기 원자의 제 1~ 제 3 이온화 에너지를 나타낸 것이다. A~D는 임의의 원소 기호이며, 원자 번호 순서가 아니다.

A~D에 대한 설명으로 옳은 것만을 <보기>에서 있는 대로 고른 것은? [3점]

A~D에 대한 설명으로 옳은 것만을 <보기>에서 있는 대로 고른 것은? [3점]

16번
다음은 탄화수소의 실험식을 구하는 실험이다.

Y의 실험식은? (단, H, C, O의 원자량은 각각 1, 12, 16 이다.) [3점]

Y의 실험식은? (단, H, C, O의 원자량은 각각 1, 12, 16 이다.) [3점]
17번
그림은 수소 원자의 선 스펙트럼에서 가시광선 영역을 나타낸 것이다.

이에 대한 설명으로 옳은 것만을 <보기>에서 있는 대로 고른 것은? (단, 수소 원자의 에너지 준위
이고, n은 주양자수, k 는 상수이다.) [3점]

이에 대한 설명으로 옳은 것만을 <보기>에서 있는 대로 고른 것은? (단, 수소 원자의 에너지 준위
이고, n은 주양자수, k 는 상수이다.) [3점]
18번
다음은 기체 A와 B의 반응에 대한 자료와 실험이다.

반응 계수(b)와 (가)의 w를 곱한 값(b×w)은?

반응 계수(b)와 (가)의 w를 곱한 값(b×w)은?
19번
다음은 2 주기 원소 X~Z 에 대한 자료이다.

이에 대한 설명으로 옳은 것만을 <보기>에서 있는 대로 고른 것은? (단, X~Z는 임의의 원소 기호이고, 모든 원자는 바닥 상태이다.) [3점]

이에 대한 설명으로 옳은 것만을 <보기>에서 있는 대로 고른 것은? (단, X~Z는 임의의 원소 기호이고, 모든 원자는 바닥 상태이다.) [3점]

20번
표는 염산(HCl(aq))과 수산화 나트륨 수용액(NaOH(aq))을 혼합한 용액 (가)와 (나)에 대한 자료이다.

이에 대한 설명으로 옳은 것만을 <보기>에서 있는 대로 고른 것은? (단, 혼합 용액의 부피는 혼합 전 각 용액의 부피의 합과 같다.) [3점]

이에 대한 설명으로 옳은 것만을 <보기>에서 있는 대로 고른 것은? (단, 혼합 용액의 부피는 혼합 전 각 용액의 부피의 합과 같다.) [3점]

연도별
- 2016년09월01일
- 2016년07월06일
- 2016년06월02일
- 2016년04월06일
- 2016년03월10일
- 2015년11월12일
- 2015년10월13일
- 2015년09월02일
- 2015년07월09일
- 2015년06월04일
- 2015년04월09일
- 2015년03월11일
- 2014년11월13일
- 2014년10월07일
- 2014년09월03일
- 2014년07월10일
- 2014년06월12일
- 2014년04월10일
- 2014년03월12일
- 2013년11월07일
- 2013년10월08일
- 2013년09월03일
- 2013년07월12일
- 2013년06월05일
- 2013년04월11일
- 2013년03월13일
- 2012년11월08일
- 2012년10월09일
- 2012년09월04일
- 2012년07월11일
- 2012년06월07일
- 2012년04월10일
- 2011년10월12일
- 2011년09월01일
- 2011년07월13일
- 2011년06월02일
- 2011년04월12일
- 2011년02월28일
- 2010년11월18일
- 2010년10월12일
- 2010년09월02일
- 2010년07월08일
- 2010년06월10일
- 2010년04월13일
- 2010년03월12일
- 2009년11월12일
- 2009년10월15일
- 2009년09월03일
- 2009년07월14일
- 2009년06월04일
- 2009년04월15일
- 2009년03월13일
- 2008년11월13일
- 2008년10월16일
- 2008년09월04일
- 2008년07월15일
- 2008년06월04일
- 2008년04월15일
- 2008년03월14일
- 2007년11월15일
- 2007년10월10일
- 2007년09월06일
- 2007년07월12일
- 2007년06월07일
- 2007년03월16일
- 2006년11월16일
- 2006년10월12일
- 2006년09월06일
- 2006년06월03일
- 2006년04월19일
- 2006년03월11일