수능(화학I) (2007년03월16일 기출문제)
1과목 : 과목 구분 없음
1번
다음은 물과 관련된 여러 가지 현상이다.

위 현상 중에서 물의 기화열이 커서 나타나는 현상을 모두 고른 것은?

위 현상 중에서 물의 기화열이 커서 나타나는 현상을 모두 고른 것은?
2번
표는 수산화나트륨(NaOH) 수용액과 묽은 염산 (HCl)을 각각 부피를 달리하여 스티로폼 용기에 넣은 다음 혼합 용액의 최고 온도를 측정한 결과이다. (단, 혼합 전 용액의 온도는 모두 18℃이고, 각 혼합 용액의 비열은 같다.)

혼합 용액 A~E에 대한 설명으로 옳은 것은? [3점]

혼합 용액 A~E에 대한 설명으로 옳은 것은? [3점]
3번
다음은 물과 액체 A에 대한 실험이다.

이 실험에 대한 설명으로 옳은 것을 <보기>에서 모두 고른 것은? [3점]

이 실험에 대한 설명으로 옳은 것을 <보기>에서 모두 고른 것은? [3점]

4번
그림은 염화나트륨(NaCl)수용액 10mL에 질산은(AgNO3)수용액 10mL를 넣었을 때 용액 속의 이온을 모형으로 나타낸 것이다.

위 비커에 같은 농도의 질산은 수용액 5mL를 추가로 넣었을때의 결과를 나타낸 모형으로 옳은 것은? [3점]

위 비커에 같은 농도의 질산은 수용액 5mL를 추가로 넣었을때의 결과를 나타낸 모형으로 옳은 것은? [3점]
5번
표는 건조 공기를 구성하는 기체의 성질을 조사한 자료이다.

기체 A~E에 대한 설명으로 옳지 않은 것은?

기체 A~E에 대한 설명으로 옳지 않은 것은?
6번
그림은 25℃에서 밀폐 용기 속에 들어 있는 헬륨(He)과 질소(N2) 기체를 입자 모형으로 나타낸 것이다.

그림 A~F에 대한 설명으로 옳은 것을 <보기>에서 모두 고른 것은? (단, 분자의 질량은 He < N2이다.) [3점]

그림 A~F에 대한 설명으로 옳은 것을 <보기>에서 모두 고른 것은? (단, 분자의 질량은 He < N2이다.) [3점]

7번
그림은 자동차 엔진에서 나오는 배출 가스 (가)가 촉매 변환기를 거치면서 배출 가수 (나)로 변환되는 과정을 나타낸 것이다.

그림에 대한 옳은 설명을 <보기>에서 모두 고른 것은?

그림에 대한 옳은 설명을 <보기>에서 모두 고른 것은?

8번
그림과 같이 기체 A와 기체 B의 진한 수용액을 묻힌 솜으로 유리관의 양쪽 끝을 동시에 막았더니, 잠시후 (가) 위치에서 흰 연기가 생겼다.

이 실험에 대한 설명으로 옳은 것은?

이 실험에 대한 설명으로 옳은 것은?
9번
그림은 주기율표의 일부를 나타낸 것이다. (단, A~E는 임의의 원소 기호이다. )

원소 A~E에 대한 설명으로 옳지 않은 것은? [3점]

원소 A~E에 대한 설명으로 옳지 않은 것은? [3점]
10번
다음은 기체의 성질을 알아보기 위한 실험이다.

이 실험에 대한 설명으로 옳지 않은 것은? (단, 각 기체의 온도는 일정하며, 피스톤의 무게는 무시한다.) [3점]

이 실험에 대한 설명으로 옳지 않은 것은? (단, 각 기체의 온도는 일정하며, 피스톤의 무게는 무시한다.) [3점]
11번
그림은 자동차 바퀴에 사용되는 알루미늄 휠을 나타낸 것이다.

다음 중 자동차 바퀴에 철 대신 알루미늄을 사용하는 이유로 가장 적당한 것은?

다음 중 자동차 바퀴에 철 대신 알루미늄을 사용하는 이유로 가장 적당한 것은?
12번
그림은 금속 A, B, C의 결정 모형을 나타낸 것이다. (단, A~C는 1족 또는 2족 원소이다.)

금속 A~C에 대한 설명으로 옳은 것을 <보기>에서 모두 고른 것은?

금속 A~C에 대한 설명으로 옳은 것을 <보기>에서 모두 고른 것은?

13번
다음은 금속 M에 은을 도금하는 실험이다.

이 실험에 대한 설명으로 옳은 것을 <보기>에서 모두 고른 것은? (단, M은 임의의 원소 기호이다.) [3점]

이 실험에 대한 설명으로 옳은 것을 <보기>에서 모두 고른 것은? (단, M은 임의의 원소 기호이다.) [3점]

14번
다음은 철의 부식을 방지하기 위한 방법을 나타낸 것이다.

위 (가)~(다)의 원리를 옳게 적용한 예를 <보기>에서 모두 고른 것은? [3점]

위 (가)~(다)의 원리를 옳게 적용한 예를 <보기>에서 모두 고른 것은? [3점]

15번
그림은 비타민 C와 비타민 B의 구조식을 나타낸 것이다.

(가)와 (나)에 대한 설명으로 옳은 것은?

(가)와 (나)에 대한 설명으로 옳은 것은?
16번
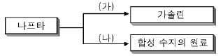
그림에서 (가)는 나프타로부터 가솔린을 (나)는 나프타로부터 합성 수지의 원료를 얻는 과정이다.

위 과정 (가), (나)에서 일어나는 화학 반응의 예를 <보기>에서 골라 옳게 짝지은 것은? (순서대로 가, 나)

위 과정 (가), (나)에서 일어나는 화학 반응의 예를 <보기>에서 골라 옳게 짝지은 것은? (순서대로 가, 나)

17번
다음은 방향족 탄화수소 유도체 (가)~(라)의 구조식을 나타낸 것이다.

화합물 (가)~(라)에 대한 설명으로 옳은 것은? [3점]

화합물 (가)~(라)에 대한 설명으로 옳은 것은? [3점]
18번
그림은 합성 고분자 (가)와 (나)의 구조식을 나타낸 것이다.

합성 고분자 (가)와 (나)의 공통점으로 옳은 것은?

합성 고분자 (가)와 (나)의 공통점으로 옳은 것은?
19번
그림은 세제 (가)~(다)의 구조식을 나타낸 것이다.

세제 (가)~(다)에 대한 설명으로 옳은 것을 <보기>에서 모두 고른 것은? [3점]

세제 (가)~(다)에 대한 설명으로 옳은 것을 <보기>에서 모두 고른 것은? [3점]

20번
다음은 핵융합 에너지의 이용에 관한 글이다.

핵분열 반응 대신 핵융합 반응을 이용할 때의 장점을 <보기>에서 모두 고른 것은?

핵분열 반응 대신 핵융합 반응을 이용할 때의 장점을 <보기>에서 모두 고른 것은?

연도별
- 2016년09월01일
- 2016년07월06일
- 2016년06월02일
- 2016년04월06일
- 2016년03월10일
- 2015년11월12일
- 2015년10월13일
- 2015년09월02일
- 2015년07월09일
- 2015년06월04일
- 2015년04월09일
- 2015년03월11일
- 2014년11월13일
- 2014년10월07일
- 2014년09월03일
- 2014년07월10일
- 2014년06월12일
- 2014년04월10일
- 2014년03월12일
- 2013년11월07일
- 2013년10월08일
- 2013년09월03일
- 2013년07월12일
- 2013년06월05일
- 2013년04월11일
- 2013년03월13일
- 2012년11월08일
- 2012년10월09일
- 2012년09월04일
- 2012년07월11일
- 2012년06월07일
- 2012년04월10일
- 2011년10월12일
- 2011년09월01일
- 2011년07월13일
- 2011년06월02일
- 2011년04월12일
- 2011년02월28일
- 2010년11월18일
- 2010년10월12일
- 2010년09월02일
- 2010년07월08일
- 2010년06월10일
- 2010년04월13일
- 2010년03월12일
- 2009년11월12일
- 2009년10월15일
- 2009년09월03일
- 2009년07월14일
- 2009년06월04일
- 2009년04월15일
- 2009년03월13일
- 2008년11월13일
- 2008년10월16일
- 2008년09월04일
- 2008년07월15일
- 2008년06월04일
- 2008년04월15일
- 2008년03월14일
- 2007년11월15일
- 2007년10월10일
- 2007년09월06일
- 2007년07월12일
- 2007년06월07일
- 2007년03월16일
- 2006년11월16일
- 2006년10월12일
- 2006년09월06일
- 2006년06월03일
- 2006년04월19일
- 2006년03월11일