수능(화학I) (2009년11월12일 기출문제)
1과목 : 과목 구분 없음
1번
다음은 액체의 종류에 따른 표면장력의 크기를 비교하기 위한 실험이다.

과정 (가), (나)에서 동일해야 할 변인으로 적절한 것만을 <보기>에서 있는 대로 고른 것은?

과정 (가), (나)에서 동일해야 할 변인으로 적절한 것만을 <보기>에서 있는 대로 고른 것은?

2번
다음은 아세트아미노펜을 만드는 실험이다. 과정 (가)에서 사용되는 기구가 아닌 것은? [3점]

3번
표는 기체 A~D의 제법이다.

기체 A~D에 대한 설명으로 옳은 것은?

기체 A~D에 대한 설명으로 옳은 것은?
4번
다음은 센물의 성질을 알아보기 위한 세 가지 실험이다.

이에 대한 설명으로 옳은 것만을 <보기>에서 있는 대로 고른 것은? [3점]

이에 대한 설명으로 옳은 것만을 <보기>에서 있는 대로 고른 것은? [3점]

5번
철수는 알칼리 금속 Li, Na, K과 할로겐 Cl2, Br2, I2 를 설명에 따라 그림에 배치하였다.

상온에서 액체로 존재하는 물질의 맞은편에 있는 물질은?

상온에서 액체로 존재하는 물질의 맞은편에 있는 물질은?
6번
그림은 정수 과정을 단계별로 나타낸 것이다.

미세한 점토입자를 응집시켜 가라앉히는 단계(가)와 미생물을 살균하는 단계(나)로 가장 적절한 것은? (순서대로 가, 나)

미세한 점토입자를 응집시켜 가라앉히는 단계(가)와 미생물을 살균하는 단계(나)로 가장 적절한 것은? (순서대로 가, 나)
7번
그림은 성층권에서 일어나는 기체 반응의 일부를 나타낸 것이다.

이에 대한 설명으로 옳은 것만을 <보기>에서 있는 대로 고른 것은? [3점]

이에 대한 설명으로 옳은 것만을 <보기>에서 있는 대로 고른 것은? [3점]

8번
그림은 원유를 분별증류할 때 분리되어 나오는 물질 A~D의 끓는점 범위를 나타낸 것이다.

물질 A~D에 대한 설명으로 옳은 것만을 <보기>에서 있는 대로 고른 것은?

물질 A~D에 대한 설명으로 옳은 것만을 <보기>에서 있는 대로 고른 것은?

9번
표는 가정용 전선과 함석의 재료로 사용되는 금속 A, B, C의 특성을 비교하여 나타낸 것이다.

금속 A, B, C에 대한 설명으로 옳은 것만을 <보기>에서 있는 대로 고른 것은? [3점]

금속 A, B, C에 대한 설명으로 옳은 것만을 <보기>에서 있는 대로 고른 것은? [3점]

10번
다음은 신재생에너지 A~D에 관한 설명이다.

신재생에너지 A~D에 해당하지 않는 것은?

신재생에너지 A~D에 해당하지 않는 것은?
11번
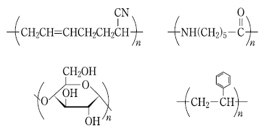
다음은 네 가지 고분자 화합물의 구조식을 나타낸 것이다.

이에 대한 설명으로 옳은 것은? [3점]

이에 대한 설명으로 옳은 것은? [3점]
12번
그림은 철의 제련과정에서 일어나는 화학반응을 나타낸 것이다.

이 반응에 대한 설명으로 옳지 않은 것은?

이 반응에 대한 설명으로 옳지 않은 것은?
13번
다음 화학반응에 대한 설명으로 옳은 것만을 <보기>에서 있는 대로 고른 것은?

14번
그림은 일정한 질량의 헬륨 기체에 대한 압력과 밀도를 나타낸 것이다.

이 자료에 대한 설명으로 옳은 것만을 <보기>에서 있는 대로 고른 것은? [3점]

이 자료에 대한 설명으로 옳은 것만을 <보기>에서 있는 대로 고른 것은? [3점]

15번
다음은 불꽃반응에서 노란색을 나타내는 어떤 수용액의 성질을 알아보는 실험이다.

이에 대한 설명으로 옳은 것만을 <보기>에서 있는 대로 고른 것은?

이에 대한 설명으로 옳은 것만을 <보기>에서 있는 대로 고른 것은?

16번
그림은 탄소수가 세 개인 사슬모양 탄화수소 A, B, C의
를 나타낸 것이다.

탄화수소 A, B, C에 대한 설명으로 옳은 것만을 <보기>에서 있는 대로 고른 것은? [3점]
를 나타낸 것이다. 
탄화수소 A, B, C에 대한 설명으로 옳은 것만을 <보기>에서 있는 대로 고른 것은? [3점]

17번
그림은 금속 A, B 분말을 일정량의 금속 C 이온 수용액에 각각 넣었을 때, 용액의
를 넣어준 금속의 질량에 따라 나타낸 것이다.

이에 대한 설명으로 옳은 것만을 <보기>에서 있는 대로 고른 것은? [3점]
를 넣어준 금속의 질량에 따라 나타낸 것이다. 
이에 대한 설명으로 옳은 것만을 <보기>에서 있는 대로 고른 것은? [3점]

18번
다음은 기체의 성질을 알아보기 위한 실험이다.

실험 결과에서 X 가 Y 보다 큰 물리량만을 <보기>에서 있는 대로 고른 것은? (단, 기체 X, Y는 반응하지 않는다.)

실험 결과에서 X 가 Y 보다 큰 물리량만을 <보기>에서 있는 대로 고른 것은? (단, 기체 X, Y는 반응하지 않는다.)

19번
그림은 20℃에서 일정량의 수산화바륨(Ba(OH)2) 수용액에 묽은 황산(H2SO4) 수용액 A, B를 각각 가할 때, 혼합 용액의 양이온수와 최고 온도를 나타낸 것이다.

혼합 용액 (가)~(다)에 대한 설명으로 옳은 것만을 <보기>에서 있는 대로 고른 것은? [3점]

혼합 용액 (가)~(다)에 대한 설명으로 옳은 것만을 <보기>에서 있는 대로 고른 것은? [3점]

20번
표는 탄소화합물을 구분하기 위한 기준 (가)~(다)와 몇 가지 탄소화합물의 구조식을 나타낸 것이다.

기준 (가)~(다)에 속하는 화합물을 벤다이어그램으로 나타낼 때, 빗금 친 부분 A, B, C에 들어갈 화합물의 수로 옳은 것은? (순서대로 A, B, C) [3점]

기준 (가)~(다)에 속하는 화합물을 벤다이어그램으로 나타낼 때, 빗금 친 부분 A, B, C에 들어갈 화합물의 수로 옳은 것은? (순서대로 A, B, C) [3점]

연도별
- 2016년09월01일
- 2016년07월06일
- 2016년06월02일
- 2016년04월06일
- 2016년03월10일
- 2015년11월12일
- 2015년10월13일
- 2015년09월02일
- 2015년07월09일
- 2015년06월04일
- 2015년04월09일
- 2015년03월11일
- 2014년11월13일
- 2014년10월07일
- 2014년09월03일
- 2014년07월10일
- 2014년06월12일
- 2014년04월10일
- 2014년03월12일
- 2013년11월07일
- 2013년10월08일
- 2013년09월03일
- 2013년07월12일
- 2013년06월05일
- 2013년04월11일
- 2013년03월13일
- 2012년11월08일
- 2012년10월09일
- 2012년09월04일
- 2012년07월11일
- 2012년06월07일
- 2012년04월10일
- 2011년10월12일
- 2011년09월01일
- 2011년07월13일
- 2011년06월02일
- 2011년04월12일
- 2011년02월28일
- 2010년11월18일
- 2010년10월12일
- 2010년09월02일
- 2010년07월08일
- 2010년06월10일
- 2010년04월13일
- 2010년03월12일
- 2009년11월12일
- 2009년10월15일
- 2009년09월03일
- 2009년07월14일
- 2009년06월04일
- 2009년04월15일
- 2009년03월13일
- 2008년11월13일
- 2008년10월16일
- 2008년09월04일
- 2008년07월15일
- 2008년06월04일
- 2008년04월15일
- 2008년03월14일
- 2007년11월15일
- 2007년10월10일
- 2007년09월06일
- 2007년07월12일
- 2007년06월07일
- 2007년03월16일
- 2006년11월16일
- 2006년10월12일
- 2006년09월06일
- 2006년06월03일
- 2006년04월19일
- 2006년03월11일