수능(화학I) (2014년06월12일 기출문제)
1과목 : 과목 구분 없음
1번
다음은 인류 문명에 영향을 준 암모니아에 대한 자료이다.

이에 대한 설명으로 옳은 것을 <보기>에서 모두 고른 것은?

이에 대한 설명으로 옳은 것을 <보기>에서 모두 고른 것은?

2번
현대의 원자 모형에 따르면 바닥 상태의 원자에서 전자는 에너지 준위가 낮은 오비탈부터 채워지며 파올리 배타 원리와 훈드 규칙이 적용된다. 다음중 바닥 상태 14Si에서 원자가 전자의 배치로 옳은 것은?
3번
그림은 플러렌의 모형과 벤젠의 구조식을 나타낸 것이다.

플러렌과 벤젠의 공통점으로 옳은 것은?

플러렌과 벤젠의 공통점으로 옳은 것은?
4번
그림은 염화 나트륨 수용액으로부터 각 성분 물질을 얻는 과정을 나타낸 것이다.

이에 대한 설명으로 옳은 것을 <보기>에서 모두 고른 것은?

이에 대한 설명으로 옳은 것을 <보기>에서 모두 고른 것은?

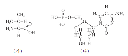
5번
그림 (가)는 아미노산 중 하나를, (나)는 뉴틀레오타이드 중 하나를 나타낸 것이다.

(가)와 (나)의 공통점으로 옳은 것만을 <보기>에서 있는 대로 고른 것은? [3점]

(가)와 (나)의 공통점으로 옳은 것만을 <보기>에서 있는 대로 고른 것은? [3점]

6번
다음은 알루미늄(Al)을 이용하여 은 (Ag)의 녹을 제거하는 반응의 화학 반응식이다.

0.03몰의 Ag2S과 반응하는 Al의 질량은? (단, Al의 원자량은 27이다.)

0.03몰의 Ag2S과 반응하는 Al의 질량은? (단, Al의 원자량은 27이다.)
7번
다음은 구리 (Cu)와 관련된 산화 환원 반응 실험이다.

이에 대한 설명으로 옳은 것을 <보기>에서 모두 고른 것은?

이에 대한 설명으로 옳은 것을 <보기>에서 모두 고른 것은?

8번
다음은 러더퍼드의 a입자(He2+)산란 실험 결과와 이를 토대로 민수가 가설을 세운 후 수행한 실험이다.

민수가 실험을 통해 검증하고자 했던 가설로 가장 적절한 것은? [3점]

민수가 실험을 통해 검증하고자 했던 가설로 가장 적절한 것은? [3점]
9번
표는 원자 A~D 바닥 상태 전자 배치를 나타낸 것이다.

이에 대한 설명으로 옳은 것을 <보기>에서 모두 고른 것은? (단, A~D는 임의의 원소 기호이다.) [3점]

이에 대한 설명으로 옳은 것을 <보기>에서 모두 고른 것은? (단, A~D는 임의의 원소 기호이다.) [3점]

10번
그림은 인체, 우주, 지각에 포함된 탄소 (C) 원자의 개수를 각각 100이라고 할 때 인체, 우주, 지각에 분포하는 원소 (가), (나), (다)의 원자의 개수를 상댓값으로 나타낸 것이다. (가)~(다)는 각각 H, He, O중 하나이다.

(가)~(다)에 대한 설명으로 옳은 것을 <보기>에서 모두 고른 것은?

(가)~(다)에 대한 설명으로 옳은 것을 <보기>에서 모두 고른 것은?

11번
그림은 산성비의 원인 물질인 질산 (HNO3)이 생성되는 과정 중 하나를 나타낸 것이다.

이에 대한 설명으로 옳은 것을 <보기>에서 모두 고른 것은? [3점]

이에 대한 설명으로 옳은 것을 <보기>에서 모두 고른 것은? [3점]

12번
다음은 C, H, O로 구성된 물질 X의 실험식을 구하는 실험이다.

이에 대한 설명으로 옳은 것을 <보기>에서 모두 고른 것은? (단, C, H, O의 원자량은 각각 12, 1, 16이다.) [3점]

이에 대한 설명으로 옳은 것을 <보기>에서 모두 고른 것은? (단, C, H, O의 원자량은 각각 12, 1, 16이다.) [3점]

13번
다음은 화합물 AB, AC, BC에 대한 자료이다. A~C는 각각 H, F, Cl중 하나이다.

이에 대한 설명으로 옳은 것을 <보기>에서 모두 고른 것은? (단, A~C는 임의의 원소 기호이며 쌍극자 모멘트의 크기는 부분 전하의 크기와 두 전하 사이의 거리 (결합 길이)의 곱과 같다.)

이에 대한 설명으로 옳은 것을 <보기>에서 모두 고른 것은? (단, A~C는 임의의 원소 기호이며 쌍극자 모멘트의 크기는 부분 전하의 크기와 두 전하 사이의 거리 (결합 길이)의 곱과 같다.)

14번
그림은 25℃, 1기압에서 원소의 밀도를 원자 번호 1에서 40까지 나타낸 것이다.

이에 대한 설명으로 옳은 것을 <보기>에서 모두 고른 것은? [3점]

이에 대한 설명으로 옳은 것을 <보기>에서 모두 고른 것은? [3점]

15번
표는 원소 W~Z로 이루어진 안정한 분자 (가)~(라)에 대한 자료이다. W~Z는 각각 H, C, N, O중 하나이며 분자당 구성 원자 수는 4개이하이다.

(가)~(라)에 대한 설명으로 옳지 않은 것은? (단, W~Z는 임의의 원소 기호이다.)

(가)~(라)에 대한 설명으로 옳지 않은 것은? (단, W~Z는 임의의 원소 기호이다.)
16번
표는 탄화수소 (가)~(다)에 대한 자료이다.

(가)~(다)에 대한 설명으로 옳은 것을 <보기>에서 모두 고른 것은? [3점]

(가)~(다)에 대한 설명으로 옳은 것을 <보기>에서 모두 고른 것은? [3점]

17번
그림 (가)는 수소 원자 오비탈의 에너지 준위와 전자 전이 A, B를 나타낸 것이고, (나)는 수소 원자의 선 스펙트럼에서 가시광선 영역과 자외선 영역을 모두 나타낸 것이다.

이에 대한 설명으로 옳은 것을 <보기>에서 모두 고른 것은? [3점]

이에 대한 설명으로 옳은 것을 <보기>에서 모두 고른 것은? [3점]

18번
표는 원소 A, B로 이루어진 화합물 X~Z에 대한 자료이다.

이에 대한 설명으로 옳은 것을 <보기>에서 모두 고른 것은? (단, A, B는 임의의 원소 기호이다.)

이에 대한 설명으로 옳은 것을 <보기>에서 모두 고른 것은? (단, A, B는 임의의 원소 기호이다.)

19번
표는 HCl(aq), NaOH(aq), KOH(aq)의 부피를 달리하여 혼합한 용액 (가), (나)에 대한 자료이다.

는? (단, 혼합 후 용액의 부피는 혼합 전 각 용액의 부피의 합과 같다.) [3점]

는? (단, 혼합 후 용액의 부피는 혼합 전 각 용액의 부피의 합과 같다.) [3점]
20번
다음은 기체 A와 B가 반응하여 C를 생성하는 화학 반응식이다.

표는 반응 전후의 기체에 대한 자료이며, A는 분자량이 2이다.

이에 대한 설명으로 옳은 것을 <보기>에서 모두 고른 것은? (단, 반응 전후의 온도와 압력은 일정하다.) [3점]

표는 반응 전후의 기체에 대한 자료이며, A는 분자량이 2이다.

이에 대한 설명으로 옳은 것을 <보기>에서 모두 고른 것은? (단, 반응 전후의 온도와 압력은 일정하다.) [3점]

연도별
- 2016년09월01일
- 2016년07월06일
- 2016년06월02일
- 2016년04월06일
- 2016년03월10일
- 2015년11월12일
- 2015년10월13일
- 2015년09월02일
- 2015년07월09일
- 2015년06월04일
- 2015년04월09일
- 2015년03월11일
- 2014년11월13일
- 2014년10월07일
- 2014년09월03일
- 2014년07월10일
- 2014년06월12일
- 2014년04월10일
- 2014년03월12일
- 2013년11월07일
- 2013년10월08일
- 2013년09월03일
- 2013년07월12일
- 2013년06월05일
- 2013년04월11일
- 2013년03월13일
- 2012년11월08일
- 2012년10월09일
- 2012년09월04일
- 2012년07월11일
- 2012년06월07일
- 2012년04월10일
- 2011년10월12일
- 2011년09월01일
- 2011년07월13일
- 2011년06월02일
- 2011년04월12일
- 2011년02월28일
- 2010년11월18일
- 2010년10월12일
- 2010년09월02일
- 2010년07월08일
- 2010년06월10일
- 2010년04월13일
- 2010년03월12일
- 2009년11월12일
- 2009년10월15일
- 2009년09월03일
- 2009년07월14일
- 2009년06월04일
- 2009년04월15일
- 2009년03월13일
- 2008년11월13일
- 2008년10월16일
- 2008년09월04일
- 2008년07월15일
- 2008년06월04일
- 2008년04월15일
- 2008년03월14일
- 2007년11월15일
- 2007년10월10일
- 2007년09월06일
- 2007년07월12일
- 2007년06월07일
- 2007년03월16일
- 2006년11월16일
- 2006년10월12일
- 2006년09월06일
- 2006년06월03일
- 2006년04월19일
- 2006년03월11일