2009년08월30일 60번
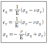
[암석역학] 탄성체에 대하여 아래와 같은 응력-변형률의 관계가 성립하는 경우는 다음 중 어느 것에 해당하는가? (단, σx, σy는 수직응력, εx, εy, εz는 수직변형률, E, v는 각각 영률, 포아송비를 나타낸다.)

- ① 평면응력상태
- ② 평면변형률상태
- ③ 삼축응력상태
- ④ 회전대칭변형률상태
(정답률: 알수없음)
문제 해설
연도별
- 2021년09월12일
- 2021년03월07일
- 2020년09월26일
- 2020년06월06일
- 2019년09월21일
- 2019년03월03일
- 2018년09월15일
- 2018년03월04일
- 2017년09월23일
- 2017년03월05일
- 2016년10월01일
- 2016년03월06일
- 2015년09월19일
- 2015년03월08일
- 2014년09월20일
- 2014년03월02일
- 2013년09월28일
- 2013년03월10일
- 2012년09월15일
- 2012년03월04일
- 2011년10월02일
- 2011년03월20일
- 2010년09월05일
- 2010년03월07일
- 2009년08월30일
- 2009년03월01일
- 2008년09월07일
- 2008년03월02일
- 2007년03월04일
- 2005년03월20일
- 2005년03월06일
- 2004년09월05일
- 2004년05월23일
- 2004년03월07일
- 2003년08월31일
- 2003년05월25일
- 2003년03월16일
진행 상황
0 오답
0 정답