수능(지구과학I) (2012년04월10일 기출문제)
1과목 : 과목 구분 없음
1번
그림은 지구과학의 탐구 대상 중 하나인 자연 재해를 나타낸 것이다.

이와 같은 자연 재해 연구에 대한 설명으로 옳은 것만을 <보기>에서 있는 대로 고른 것은?

이와 같은 자연 재해 연구에 대한 설명으로 옳은 것만을 <보기>에서 있는 대로 고른 것은?

2번
다음은 지구 환경 구성 요소 간의 상호 작용과 지구의 진화 과정에서 일어난 현상 (가) ~(라)를 나타낸 것이다.

A~E의 상호 작용 중에서 (가)~(라)의 현상에 해당되지 않는 것은? [3점]

A~E의 상호 작용 중에서 (가)~(라)의 현상에 해당되지 않는 것은? [3점]
3번
그림 (가) ~ (다)는 각 지질 시대의 표준 화석이다.

이에 대한 설명으로 옳은 것만을 <보기>에서 있는 대로 고른 것은?

이에 대한 설명으로 옳은 것만을 <보기>에서 있는 대로 고른 것은?

4번
그림 (가), (나)는 서로 다른 지역에서 화산이 분출하는 모습을 나타낸 것이다.

(가)와 (나)를 비교했을 때, (가)에 대한 설명으로 옳은 것만을 <보기>에서 있는 대로 고른 것은?

(가)와 (나)를 비교했을 때, (가)에 대한 설명으로 옳은 것만을 <보기>에서 있는 대로 고른 것은?

5번
그림은 어느 지역에서 발생한 지진의 진앙과 피해 정도를 지도 위에 나타낸 것이다.

이에 대한 설명으로 옳은 것만을 <보기>에서 있는 대로 고른 것은? [3점]

이에 대한 설명으로 옳은 것만을 <보기>에서 있는 대로 고른 것은? [3점]

6번
그림 (가)는 깊이에 따른 해수의 수온 분포를, (나)는 높이에 따른 대기의 평균 분자량의 분포를 나타낸 것이다.

이에 대한 설명으로 옳은 것만을 <보기>에서 있는 대로 고른 것은? [3점]

이에 대한 설명으로 옳은 것만을 <보기>에서 있는 대로 고른 것은? [3점]

7번
그림은 어느 날 우리나라 주변의 일기도에 고기압과 저기압을 기호로 나타낸 것이다.

A~D에 대한 설명으로 옳지 않은 것은?

A~D에 대한 설명으로 옳지 않은 것은?
8번
그림(가), (나)는 어느 해 우리나라 주변의 여름철과 겨울철 일기도를 순서 없이 나타낸 것이다.

이에 대한 설명으로 옳은 것만을 <보기>에서 있는 대로 고른 것은?

이에 대한 설명으로 옳은 것만을 <보기>에서 있는 대로 고른 것은?

9번
그림은 하와이 열도를 이루는 섬 A~E의 분포와 화산의 생성 시기를 나타낸 것이다.

이에 대한 설명으로 옳은 것만을 <보기>에서 있는 대로 고른 것은? [3점]

이에 대한 설명으로 옳은 것만을 <보기>에서 있는 대로 고른 것은? [3점]

10번
그림 (가)는 과냉각 물방울과 빙정이 섞여 있는 구름 속에서 빙정이 성장하는 과정을, (나)는 온도에 따른 빙정과 과냉각 물방울의 포화 수증기압을 나타낸 것이다.

이에 대한 설명으로 옳은 것만을 <보기>에서 있는 대로 고른 것은? [3점]

이에 대한 설명으로 옳은 것만을 <보기>에서 있는 대로 고른 것은? [3점]

11번
그림은 북태평양의 표층 염분 분포를 나타낸 것이다.

이에 대한 설명으로 옳은 것만을 <보기>에서 있는 대로 고른 것은? [3점]

이에 대한 설명으로 옳은 것만을 <보기>에서 있는 대로 고른 것은? [3점]

12번
다음은 난센의 북극 탐험을 서술한 것이고, 그림 (가)는 난센의 탐험 경로를, (나)는 북극 주변에 흐르는 해류를 나타낸 것이다.

이에 대한 설명으로 옳은 것만을 <보기>에서 있는 대로 고른 것은? [3점]

이에 대한 설명으로 옳은 것만을 <보기>에서 있는 대로 고른 것은? [3점]

13번
그림 (가)는 어느 인공위성을 이용하여 관측한 수온 분포를, (나)는 적조 분포를 나타낸 것이다.

이에 대한 설명으로 옳은 것만을 <보기>에서 있는 대로 고른 것은?

이에 대한 설명으로 옳은 것만을 <보기>에서 있는 대로 고른 것은?

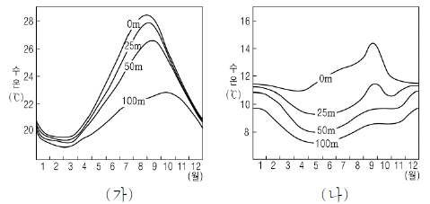
14번
그림 (가), (나)는 북태평양의 난류와 한류가 흐르는 중위도 해역에서 1년 동안 깊이에 따른 수온 분포를 순서없이 나타낸 것이다.

이에 대한 설명으로 옳은 것만을 <보기>에서 있는 대로 고른 것은?

이에 대한 설명으로 옳은 것만을 <보기>에서 있는 대로 고른 것은?

15번
그림은 공기의 건구온도와 습구 온도에 따른 상대 습도와 수증기압을 나타낸 것이다.

공기 A ~ C에 대한 설명으로 옳지 않은 것은?

공기 A ~ C에 대한 설명으로 옳지 않은 것은?
16번
그림 (가)는 북반구 어느 지역에서 관측한 월식 과정을 나타낸 것이고, (나)는 이날 관측한 달의 모습 중 하나이다.

A ~ C에 대한 설명으로 옳은 것만을 <보기>에서 있는 대로 고른 것은? [3점]

A ~ C에 대한 설명으로 옳은 것만을 <보기>에서 있는 대로 고른 것은? [3점]

17번
그림은 겉보기 등급이 같은 별 A ~ C를 6개월 간격으로 관측한 후 별의 위치를 천구 상에 나타낸 것이다.

A~C에 대한 설명으로 옳은 것만을 <보기>에서 있는 대로 고른 것은? [3점]

A~C에 대한 설명으로 옳은 것만을 <보기>에서 있는 대로 고른 것은? [3점]

18번
그림 (가)는 연도에 따른 태양 흑점의 위도별 분포를, (나)는 태양의 플레어 발생 횟수를 나타낸 것이다.

이에 대한 설명으로 옳은 것만을 <보기>에서 있는 대로 고른 것은?

이에 대한 설명으로 옳은 것만을 <보기>에서 있는 대로 고른 것은?

19번
다음은 북반구 어느 지역에서 일어난 개기 일식을 관측한 후 정리한 것이다.

이에 대한 설명으로 옳은 것만을 <보기>에서 있는 대로 고른 것은? [3점]

이에 대한 설명으로 옳은 것만을 <보기>에서 있는 대로 고른 것은? [3점]

20번
그림 (가), (나)는 서로 다른 우주관에서 태양, 금성, 지구의 위치 변화를 나타낸 것이다.

이에 대한 설명으로 옳은 것만을 <보기>에서 있는 대로 고른 것은?

이에 대한 설명으로 옳은 것만을 <보기>에서 있는 대로 고른 것은?

연도별
- 2016년11월17일
- 2016년10월11일
- 2016년09월01일
- 2016년07월06일
- 2016년06월02일
- 2016년04월06일
- 2016년03월10일
- 2015년11월12일
- 2015년10월13일
- 2015년09월02일
- 2015년07월09일
- 2015년06월04일
- 2015년04월09일
- 2015년03월11일
- 2014년11월13일
- 2014년10월07일
- 2014년09월03일
- 2014년07월10일
- 2014년06월12일
- 2014년04월10일
- 2014년03월12일
- 2013년11월07일
- 2013년10월08일
- 2013년09월03일
- 2013년07월12일
- 2013년06월05일
- 2013년04월11일
- 2013년03월13일
- 2012년11월08일
- 2012년10월09일
- 2012년09월04일
- 2012년07월11일
- 2012년06월07일
- 2012년04월10일
- 2011년11월10일
- 2011년10월12일
- 2011년09월01일
- 2011년07월13일
- 2011년06월02일
- 2011년04월12일
- 2011년02월28일
- 2010년11월18일
- 2010년10월12일
- 2010년09월02일
- 2010년07월08일
- 2010년06월10일
- 2010년04월13일
- 2010년03월12일